关键词:拱梁分载法;拉应力;抗拉强度;分项系数;控制标准;混凝土拱坝
摘 要:我国《SD145—85混凝土拱坝设计规范》规定,坝体内混凝土拉应力控制标准与建筑物重要性无关,对不同等级的建筑物,采用相同的应力控制标准,这显然是不合理的。在总结已建工程实践经验的基础上,对拱坝作用不定性、抗力不定性、结构计算模式不定性等进行了分析讨论,并最终得出了用分项系数表达的不同等级建筑物及设计状况下的基于拱梁分载法的坝体拉应力控制标准。
我国《SD145—85混凝土拱坝设计规范》(以下简称“原规范”)制定的坝体内混凝土拉应力控制标准与建筑物重要性无关,对不同等级的建筑物,采用相同的应力控制标准,这显然是不合理的。不同的混凝土强度,容许拉应力控制标准应不相同。我国《GB50199—94水利水电工程结构可靠度设计统一标准》(以下简称《水工统标》)中规定,用分项系数表示的坝体抗拉强度为:γ0ψS(·)≤fk/(γmγd)。以下按《水工统标》的规定,以拱梁分载法为拱坝应力分析的基本方法,探讨拱坝抗拉强度准则及各项分项系数的确定。?
1抗拉强度表达方式及混凝土抗拉强度标准值
1.1抗拉强度表达方式
抗拉强度有三种试验和表达方式:
(1)劈裂抗拉强度试验—劈裂抗拉强度,反映混凝土压剪型破坏强度,与坝体混凝土以主拉应力控制的受力性态比较相似。该方法试验简单,能利用与抗压试验同一规格的试件;由于破坏被限定在荷载作用线附近很窄范围内,内部缺陷对试验成果影响不敏感,故试验成果稳定,离散性小。国内外一般按与试件抗压强度相关的关系式计算劈裂抗拉强度,设ftp为劈拉强度,fc为抗压强度,则有如下关系式:?

式中,a、b为回归系数。根据水工结构可靠度设计统一标准专题报告—水工混凝土强度特性报告(北京勘测设计研究院,以下简称强度特性报告)收集到的11个回归系数a、b值,可以得出,当抗压强度在20~40 MPa之间时,劈拉强度大约为抗压强度的0.158~0.089倍。
(2)混凝土极限拉伸试验—轴心抗拉强度,是《DL/T5057—1996水工混凝土结构设计规范》所规定的抗拉强度标准值。极限拉伸试验装置简单,但试验比较困难,受试验条件、养护条件影响十分敏感,主要反映在两端夹具对中不易(中轴与受力方向不易一致),偏心将形成弯曲受拉;夹具附近局部容易破坏;试件表面有裂纹时,试验结果误差很大等。因此,试验值偏低,离散性大,与大坝受力状态不相符,目前一般用劈裂抗拉强度代替轴心抗拉强度。二滩工程招标设计阶段的坝体混凝土试验得出混凝土轴拉强度与抗压强度的关系式如下:

式中,ftz为轴拉强度,fc为抗压强度,混凝土的粉煤灰掺量30%,骨料为正长岩。根据式(2)计算出抗压强度在20~40 MPa之间时,轴拉强度与抗压强度的比值在0.072~0.061之间,上述试验的抗压强度基于15 cm×15 cm×15 cm立方体试件,轴拉强度基于长600 mm,中间断面为“8”字形的试件,将抗压试件换算成20 cm×20 cm×20 cm立方体试件时,轴拉强度与抗压强度的比值在0.076~0.64之间。
根据成都勘测设计研究院科研所“二滩混凝土试验报告”(中文本,1994年12月),可以看出,轴拉强度与抗压强度关系的离散性很大。通过前述强度特性报告对葛洲坝及二滩试验资料的统计分析,强度特性报告建议轴心抗拉强度取劈拉强度的0.9倍。由前面分析可知,当抗压强度在20~40 MPa之间时,劈拉强度大约为抗压强度的0.158~0.089倍,按此计算,轴拉强度为抗压强度的0.142~0.080倍。
美国的J?M?Raphael整理了3 260个试件的试验成果,得到的轴拉强度与抗压强度的关系为:

当fc为25~40 MPa时,ft/fc=0.111~0.095≈1/10。上述对比关系中,ftz依据15 cm棱柱体,fc依据15 cm圆柱体。

(3)混凝土抗折强度试验—弯曲抗拉强度。反映混凝土在弯、剪扭作用下开裂破坏的特点,更接近大体积混凝土实际受力状况。抗折强度试验是坝工混凝土最广泛的试验方法,很多国家都列入国家标准。其试验结果比较稳定,离散性小。直接根据抗折强度试验计算出的弯曲抗拉强度一般比轴拉强度高出30%~50%。抗弯试验通常采用简支梁三分点加荷法,破坏应力按线性假定有:?

式中,fr为弯曲抗拉强度;b为试件断面宽度,d为高度,L为长度;P为荷载。
《SD105—82水工混凝土试验规程》规定的弯拉强度,也是按上式计算。线性假定实际上偏离混凝土破坏时的真实特性,这是因为抗拉强度远小于抗压强度,拉应力区进入屈服状态时,压应力区仍处于线弹性阶段,压应力图形保持线性,而拉应力分布已进入非线性。根据应力曲线图来确定合拉力的大小和位置,用矩形代替拉应力的曲线分布,设f?t为屈服强度,矩形应力区的宽度等于0.85ft,分布高度为0.425d,经计算可得:?

即,如将弯曲抗拉试验成果折减3/4后,弯拉强度与直拉强度将趋于一致,略高于直拉强度。?
1.2坝体混凝土抗拉强度标准值
使用抗拉强度时,为避免对三种试验取值上的混淆,坝工界习惯作法是直接用抗压强度的某一百分数作为抗拉强度的标准值。根据1.1分析,当混凝土标准值是以15 cm立方体试件强度作为标准,抗压强度在20~40 MPa之间时,采用ft≈0.08fc是合适的。本文将0.08倍抗压强度标准值定义为坝体混凝土抗拉强度标准值。
1.3混凝土抗拉强度比尺效应
大、小试件的强度比尺效应在弯拉、直拉、劈拉试验中都大体一致,弯拉与劈拉比值略高于直拉(直拉偏低,部分原因系试验造成)。以下资料中,大试件指45 cm棱柱体,小试件指15cm棱柱体。
以下是各地混凝土抗拉强度比尺效应试验结果。河海大学与中国水利水电第八工程局的试验结果为:直拉R45/R10=0.62~0.64(卵石混凝土),换算成标准断面比值,大致为R45/R15≈0.67~0.69;华北水利水电学院与中国水利水电第四工程局的试验结果:直拉R45/R12=0.66;原苏联的试验结果为:劈拉Rø40/Rø15=0.69,大试件ø45时,比值略有下降;成都勘测设计研究院试验结果为:R45/R15=0.68。综上资料分析混凝土抗拉强度大、小试件比尺效应可确定为:R大/R小=0.68。?
1.4混凝土抗拉强度的比例极限
《SD105—82水工混凝土试验规程》对混凝土抗拉弹性模量定义为:?

式中,Ea为混凝土抗拉弹性模量;σ0.5为50%破坏应力;ε0.5为对应于50%破坏应力时的应变值。式(6)说明比例极限至少可定为0.5ft,ft为混凝土试件抗拉破坏应力。弹性模量比尺效应不显著,故可认为大、小试件比例极限都是峰值强度的0.5倍,即fta≥0.5ft(fta为混凝土试件抗拉比例极限)。
众多试验资料证明,受拉区拉伸应变值ε在0.5~0.7倍极限拉伸(εmax)以内时,受拉区的应力—应变曲线保持线性关系。受拉区拉伸应变值超过0.7εmax以后,应力—应变曲线弯曲,不再保持为直线。如图1,曲线上C点对应为50%最大应变点,即ε=0.5εmax点;D点对应为50%破坏应力点(0.5σB点),相当于ε0.5点,σB为破坏应力,σA为虚拟拉应力;C点与0.5σA相对应。A、B两值之比与骨料粒径、试验方法、混凝土配合比等有关,试验结果比较离散。


1.5抗拉的材料性能分项系数γm
根据材料系数的定义,材料系数可用式(7)表示,其中混凝土抗拉强度标准值为小试件混凝土抗拉极限,采用0.08fk,fk为混凝土抗压强度标准值;混凝土抗拉强度设计值为大试件比例极限。

根据上述分析可知,抗拉的材料系数由γms、γme两部分构成:γms反映试件强度的比尺效应,根据1.3分析,采用R大/R小=0.68;γme为抗拉极限强度与抗拉比例极限强度之比,由于应变拉伸在0.5~0.7倍最大极限拉伸时,均可认为应力—应变曲线保持线性关系,因此,该比值有一定的变化幅度可供选择。
假定对任何等级建筑物、任一种设计工况,均应满足实际运用强度不超过比列极限,则有:γ0Ψγme=1/0.84采用Ⅲ级建筑物控制,则:

此时,采用该γme,对应于Ⅰ、Ⅱ级建筑物,在偶然作用组合工况下,材料强度分别为破坏强度的68.6%和75.4%,位于材料的比例极限范围内。由式(7)得材料系数为:?

若材料系数取γm=2.0,按不容许开裂设计时,则在结构系数中还应含有抗力的不定性修正系数γR,其值为1.145。
1.6混凝土抗拉结构系数γd
γd反映的主要因素为:作用效应计算模式的不定性;抗力计算模式的不定性;其他未能用分项系数表达的各种不定性。?
1.6.1作用效应计算模式的不定性γs
作用效应计算模式的不定性包含下列因素:
(1)荷载变异性影响γSB。荷载作用均为随机变量和随机过程,定值分析必然存在取值近似性。进行静力分析时,对坝体应力影响最大的作用是水压、自重、温度、泥沙压力。①水压分项系数可定为1.0;②温度对拱坝的作用效应,有别于对其他水工结构的效应,其特点如下:在正常荷载组合情况,温度所致最大应力与水压所致最大应力不在同一部位,通常在最大应力控制点,温度应力仅为水压应力的10%~20%;平均温度与等效线性温差所产生的效应大致相当,即权重各占1/2;平均温度与等效线性温差的变异系数相差悬殊,据统计,等效线性温差的变异系数可达0.256,为平均温度变异系数的3~4倍,基本上可视平均温度为定值;等效线性温差最大误差可能达到3~4℃,相当于有30%~40%的误差。根据上述温度效应的分析计算,温度分项系数可取为为1.15~1.2;③自重分项系数可近似取为1.0。;④为与《DL5077—1997水工建筑物荷载设计规范》的规定保持一致,泥砂压力影响的分项系数取为1.2。
根据对国内13个工程的计算分析表明,在拱坝下游面控制压应力中,温度荷载产生的应力在水荷载和自重荷载产生应力的20%范围内,泥沙荷载产生的应力在水荷载和自重荷载产生应力的15%范围内,根据各作用在控制压应力中所占权重,计算出γSB=1.05。
(2)应力分析方法仿真程度γSB。用试载法分析作用效应,在拉应力方面,目前还没有评价其仿真程度的参照标准,无论是线弹有限元或有限元等效应力法分析,其计算结果与试载法分析结果均无可比规律。试载法分析的拉应力控制标准带有经验性质,考虑到坝内设置的孔口、闸墩等附属设施及不同程序计算的最大应力差异等,令γSB=0.9。
(3)基础条件估计误差γSB。主要指地基变模影响(包括与坝体变模值之比),因其对坝体应力影响的变化很复杂,难于用一个系数概括,规范要求对地基和坝体变模作适当的浮动敏感性分析,在变模浮动变化范围内,强度安全均应满足要求,故此处可令γSB=1.0。
(4)设计状况组合随机性误差γSC取为1.0。
(5)其他未能表达的各种不定性γSO取为1.0。

1.6.2抗力的不定性γR
根据前面分析,当材料系数γm=2.0时,γR=1.145。?
1.6.3其他未估计误差γSD
γSD取为1.0。
1.08,故抗拉结构系数取为1.1。?
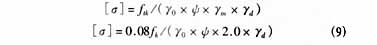
1.7混凝土容许拉应力
根据前面分析,设ftk为混凝土抗拉强度标准值,用容许应力表达时,坝体容许拉应力为:?

容许拉应力将视不同混凝土强度等级、不同设计状况、以及水泥中掺合料和外加剂使用情况而变化,当混凝土强度等级标准为C15~C35时,按(9)式换算的混凝土容许拉应力与混凝土标准值的关系可用图2表示。通过比较说明:对采用普通硅酸盐水泥的混凝土,混凝土标号在R200~R400的范围变化时,持久状况的容许拉应力为[σt]=0.7~1.7 MPa;偶然状况的容许拉应力为[σt]=0.8~2.0 MPa。

2结语
《原规范》规定在正常荷载组合时,上游面容许主拉应力不大于1.2 MPa;特殊荷载组合时,上游面容许主拉应力提高到1.5 MPa。对Ⅰ级建筑物,《原规范》容许应力基本上在本规范规定范围之内,而对Ⅲ级建筑物和低坝,由于混凝土强度等级通常较低,按《原规范》规定是偏不安全的。
大掺量粉煤灰技术推广后,混凝土后期强度增长很快,在混凝土强度等级不变情况下,容许拉应力将大幅度提高。本文将容许应力与坝体混凝土标准值建立关系,更符合实际情况。 |